Module 9 : Appendix

State Feedback Control Design

 

 

Exercise Problems:

 

Problem 1: Given that

,

Design a state feedback controller such that the closed loop poles are located at z = 0.6 ± 0.4 j .

Problem 2: The F and G matrices are given below

Design a state feedback controller using the transformation matrix that transforms the system into controllable canonical form in such a way that closed loop poles are located at z = 0.2 & z = 0.8.

Problem 3: Following F and G matrices of order 2 are given by

Determine the state feedback gain by using Ackermann's Formula.

 

Lecture Note 2

Additional Notes

 

Feed Forward Gain Design Using Steady State Input:

Block diagram is given below

This type of designing is generally preferred to “nullify the offset at the input”.

Where

The output is given by

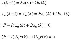
At steady state

..............................................................................................................1

From the state equation we have

..............................................................................................2

The equation 1 and 2 can be represented in matrix form as

......................................................................................3