Gear-pair Element Equations : Equations (7.109) and (7.110) can be combined in the stiffness matrix form as
![]() |
(7.111) |
On combining equations (7.106) and (7.111), we get

which is the equation of motion of the gear-pair element. It should be worth mentioning that φzg2 is the actual rotational displacement of right hand end of the shaft that is attached to gears 2. Hence, no scaling is required of the mode shapes obtained from the above formulation. Following examples will illustrate the use of the gear-pair element for the geared and branched systems by using FEM.
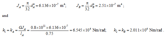
Example 7.8 For a simple-gear rotor system as shown in Figure 7.23, find torsional natural frequencies. The shaft ‘A' has the diameter of 5 cm and the length of 0.75 m, and the shaft ‘B' has the diameter of 4 cm and the length of 1.0 m. Take the modulus of rigidity of the shaft G equals to 0.8 × 1011 N/m2 , the polar mass moment of inertia of discs and gears are IpA = 24 Nm2 , IpB = 10 Nm2 , IpgA = 5 Nm2 , and IpgB = 3 Nm2 .

Figure 7.23 Two-discs with a geared system
Solution : Now this problem will be solved by using the FEM for illustration of the method to geared system. The pinion and the gear have appreciable amount of the polar mass moment of inertia. Let us divide the geared system in two elements (Fig. 7.23). Denote the node number of the disc on branch A as 1, the gear as 2, the gear as 3 and the node number of the disc on branch B as 4 (Fig. 7.23).
The following data could be obtained for the present rotor system:

Now elemental equations will be written one by one for each element, and the same would be then assembled to get global equation of motion of the geared system.
Fig. 7.24 Elements with nodal variables (a) 1st element (b) 2nd element
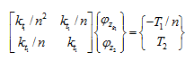
Element (1): Elemental equation can be written as (neglecting the polar mass moment of inertia of the shaft)
![]() |
(a) |
Element (2): Elemental equation can be written as
![]() |
(b) |
Now from above equation φz3 has to be replaced by φz2, since we have, φz3 = −φz2 / n where n is the gear ratio ( n =2). Hence, it takes the form
![]() |
(c) |



