
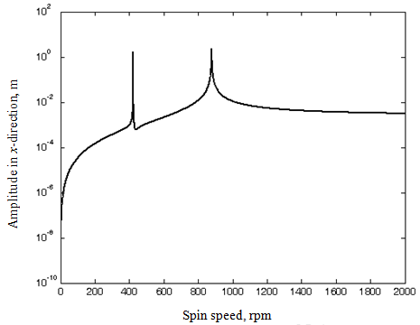
Fig. 15.1 (a) Variation of amplitude with spin speed of the shaft

Fig. 15.1(b) Variation of amplitude with spin speed of the shaft

Fig. 15.2 (a) Variation of amplitude with spin speed of the shaft

Fig. 15.2 (b) Variation of amplitude with spin speed of the shaft