Module 5 : Other control strategies

Lecture 1 : Feedforward control

Let us now explore how a combination of feedforward and feedback controller would perform when they are designed to act simultaneously. The schematic of a feedforward-feedback controller is shown in Fig V.5.


Fig V.5. The schematic of a feedforward-feedback controller

Without losing the generality we shall ignore the transfer functions of the measuring element and the final control element.

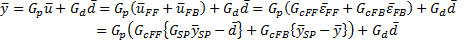
Now the closed loop transfer function of feedforward-feedback controller can be derived in the following manner:

(V.17)

Rearranging the above we get,

(V.18)

It is observed that the stability of the closed loop response is determined by the roots of the characteristic equation: . Hence, the stability characteristics of a process does not change with the addition of a feedforward loop.