Module 4 : Feedback controller

Lecture 7 : Design of feedback controllers

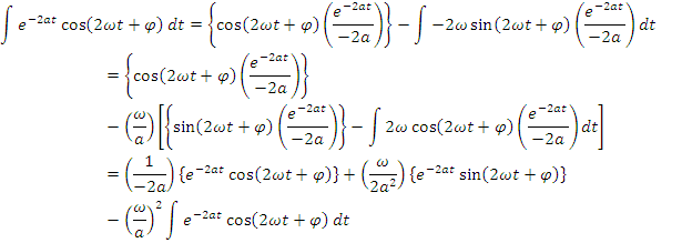
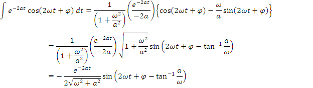
Now,

Rearranging the above we obtain,

(IV.63)

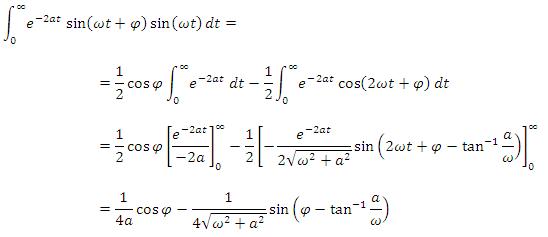
Hence,

(IV.64)