where
|
(IV.56) |
The
is written as
![]() |
(IV.57) |
The integration has to be done by parts as,
![]() |
(IV.58) |
Module 4 : Feedback controller
Lecture 7 : Design of feedback controllers
where
|
(IV.56) |
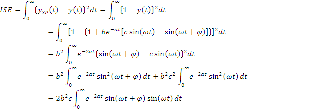
The
is written as
![]() |
(IV.57) |
The integration has to be done by parts as,
![]() |
(IV.58) |