Again
![]() |
(IV.59) |
Hence,
(IV.60) |
Similarly,
![]() |
(IV.61) |
And,
![]() |
(IV.62) |
Module 4 : Feedback controller
Lecture 7 : Design of feedback controllers
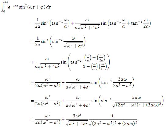
Again
![]() |
(IV.59) |
Hence,
(IV.60) |
Similarly,
![]() |
(IV.61) |
And,
![]() |
(IV.62) |