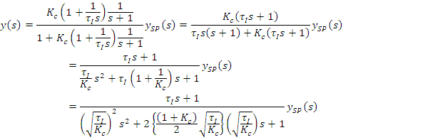
The closed loop response is
![]() |
(IV.54) |
Let us assume that the response would be underdamped
. Taking
inverse
Laplace
Transform
of the above equation we obtain the time domain solution for unit step change in setpoint ![]()
![]() |
(IV.55) |

