Module 4 : Feedback controller

Lecture 7 : Design of feedback controllers

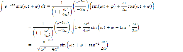
Again,

Rearranging the above we obtain,

Hence,