RBS: Yield for thin target materials
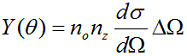
The number of backscattered ions detected by a particle detector at an angle of θ and subtending a solid angle ΔΩ at the target is called the yield. Its relation with the differential cross section is as follows:

where no is the number of incident ions and nz is the areal concentration of the target atom. This is only valid for thin targets in which the loss of energy by an incident proton in them is negligibly small.

Figure 18.07: The variation of relative field versus E [1].
Figure 18.08 displays relative yields for He backscattering from selected elements at an incident He energy of 2MeV. The energies for He backscattering from these elements when present at the surface of a sample are also displayed. This reveals that RBS is more sensitive for heavy elements than for light elements, due to the larger scattering cross sections of the heavier elements.
Ref.[1]. http://www.eag.com/mc/rbs-scattering-cross-sections.html#next.