RBS: Differential scattering cross section
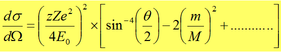
The theoretical differential cross section for a given scattering angle is given by:

The higher order terms are usually negligible for M>m and the differential cross section can be expressed in the following form, which has the unit of mb / sr (millibarns per steradian) when MeV is used as the unit for E0:

The variation of dσ/dΩ as a function of scattering angle and incident ion energy are described in next slide.
dσ/dΩ versus θ :
The dependence of dσ/dΩ on sin-4(θ /2) means that dσ/dΩ has very large values at small forward scattered angles and approaches infinity at zero degree. However, for θ = 90° - 180°, it decreases slowly because sin-4 (θ /2) drops gradually from a value of 4 at 90 o to 1 at 180°. Figure 18.06 depicts the plots of dσ/dΩ vs θ for the Coulomb scattering of 2 MeV 4He+ ions for oxygen and calcium.

Figure 18.06: The variation of dσ/dΩ versus θ.