Effect of rotational speeds and pressure differences
Direct stiffness coefficients increase with increase in the pressure difference (Figure 3.39). At low-pressure differences (2 and 5 bars), the direct stiffness coefficient becomes negative as shown in Figure 3.39. The direct stiffness coefficient reaches maximum nearly at 5000 rpm and then slowly declines as shown in Figure 3.39. The cross-coupled stiffness linearly increases with the rotor speed and also increases with the pressure difference (Figure 3.40). The direct damping coefficient increase slightly with the speed, however, it increases with the pressure difference (Figure 3.41). The cross-coupled damping increases linearly with the speed but, insensitive to the pressure difference (Figure 3.42). The direct inertia coefficient increases sharply with the rotor speed and it is almost insensitive to the pressure difference (Figure 3.43).
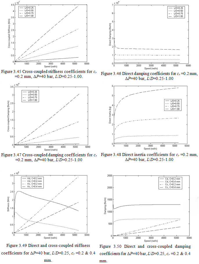
Effect of L/D ratios
L/D ratio has significant effect on rotor dynamic coefficients of seals. The direct stiffness increases with the increase in L/D ratio. For L/D= 1.00, after reaching a maximum value nearly to 8000 rpm it starts declining and becomes negative with increase in the rotor speed. At L/D=0.25, the direct stiffness coefficient always has positive values (Figure 3.46). The cross-coupled stiffness and the direct and cross-coupled damping coefficients increase with the increase in L/D ratio as shown in Figures 3.45-3.46.
Effect of seal clearances
Doubling the clearance shows a huge drop in the direct stiffness and damping coefficients, while increasing speeds up to 50,000 rpm. The drop in the cross-coupled stiffness and damping, and direct inertia coefficients with increase in clearance is also significant (Figures 3.49-3.51).


So in the preceding section, basic governing equations to obtain dynamic coefficients of the smooth-annular turbulent seals (i.e. smooth seals) are explained briefly. Dynamic coefficients are calculated from the bulk flow theory for a seal dimension and effects of rotor speeds, seal dimensions and operation conditions on dynamic coefficients of seals are presented and discussed in detail.