Example 2.4: Obtain the unbalance response of a rotor system with following equations of motion.
![]()
Solution: Since equations of motion are uncoupled hence both equations can be solved independently. The first equation can be written as
![]()
in which the real part of right hand side term has only meaning. The solution can be assumed as
![]()
where in general X is a complex quantity. The above equation gives
![]()
On substituting assumed solutions in the equation of motion, we get
![]()
which gives
![]()
Hence the response in the x-direction becomes
![]()
Similarly, the second equation of motion can be written as
![]()
in which the real part of the right hand side term only has a meaning. The solution can be assumed as
![]()
On substituting in the equation of motion, we get
![]()
Hence the response in the y-direction becomes

Now the same problem is solved in the matrix form. We have

so that

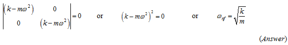
The response in the x- and y-directions can be written as

It should be noted that for undamped forced vibration, equation takes the form [Z]{X} = 0. To get the natural frequency of the system we need to put
and it gives
