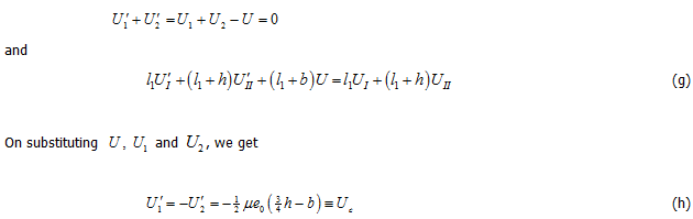
and the resultant unbalance moment about point o is given by


(b) For the present example of Figure 13.9, we have (from equations c and a)
![]()
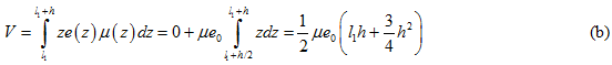
and from equations (c and b), we have
![]()
On solving equations (d) and (e), we get
![]()


The static unbalance U and the couple unbalance
are illustrated in Figure 13.8(d).
Answer

![]()

![]()
where the unit of is mm and that of ω in rad/s. The balance quantity is classified into several grades: G0.4, G1, G2.5, G2.6, G40, G100, G250, G630, G1600, and G4000. For example, G100 means that the maximum permissible value of balance quantity for this grade is 100 mm/s. Based on experience, the specific balance quantity grade is recommended for individual rotating machinery. For example: G0.4 is recommended for gyroscopes and G2.5 for gas and steam turbines. (Refer standards on balancing e.g., IS 5172 (1969), IS 13274 (1992), IS 13275 (1992), IS 13277 (1992), IS 13278 (1999), IS 13280 (1992), IS 14280 (1995), IS 14734 (1999) and IS (14918)).