




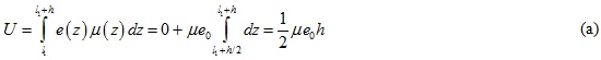
(a) If the line mass density
is a constant, the magnitude of the resultant unbalance is obtained as

Module 13 : Dynamic Balancing of Rotors
Lecture 1 : Basics Theory of Balancing of Rotors





(a) If the line mass density
is a constant, the magnitude of the resultant unbalance is obtained as
