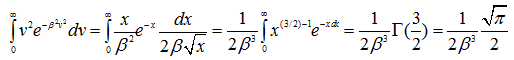
To integrate the above expression, let
so that
|
(4.95) |
|
(4.96) |
where
is called Gamma function, the value of which are given in Table 4.1.
Table 4.1 Values of gamma function
![]()

Substituting the value of integrand in Eq.(4.94),
|
(4.97) |

