|
(4.75) |
At a radial distance v from the origin,
|
(4.76) |
|
(4.77) |
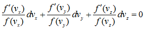
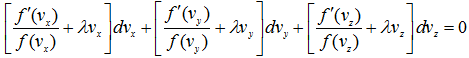
To solve the Eq.(4.75) subject to the constraint of the equation (4.64), Lagrange’s method of undetermined multipliers is applied. Multiplying Eq.(4.77) by λ and adding to Eq.(4.75),
|
(4.78) |
where λ is called the Lagrange’s multipliers.
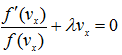
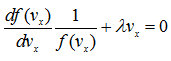
Since vx, vy and vz are now independent variables, the coefficients of dvx, dvy and dvz are individually equated to zero.
|
(4.79) |
|
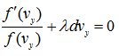
(4.80) |
|
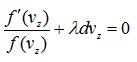
(4.81) |
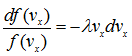
From Eq.(4.79),
|
(4.82) |
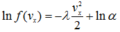
|
(4.83) |
|
(4.84) |
or,
|
(4.85) |
Similarly,
|
(4.86) |






