and
|
(4.87) |
where is the constant
of integration. The symmetry provides the same integration constant for all
the three equations.
Substituting the expressions for
and
in Eq.(4.73),
|
(4.88) |
|
(4.89) |
or,
|
(4.90) |
where
|
(4.91) |
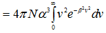
The density is found to be a function of v only, and it is maximum at the origin where v = 0 and falls off exponentially with v2 (Fig. 4.13). To calculate the number of molecules with speeds between v and v + dv, the volume of the spherical shell of thickness dv at a distance v from the origin is multiplied by the density of points , so that

Fig.4.13 Density of velocity points
|
(4.92) |
Substituting for ρ from Eq. (4.91), the total number of molecules
|
(4.93)
(4.94) |
