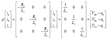
Equation 4a can be written in matrix form as
![]() |
(4b) |
where

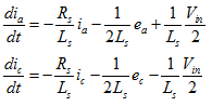
In case of ib > 0 (Figure 6b) using the equations 3a to 3f, the following set of equations can be obtained
![]() |
(4c) |
The matrix form of equation 4c is same as in equation 4b with change only is applied voltage. The applied voltage in this case is
![]() |
(4d) |
When ib = 0, using the equations 3a to 3f (Figure 6c), the following set of equations can be obtained
![]() |
(4e) |
The duration when all the three phases conduct is known as the commutation period (equations 4b and 4d) and the duration when only two phases conduction is known as conduction period. At the end of commutation period 0 ≤ t ≤ tc, the outgoing phase current becomes zero. Hence, the following conditions are obtained:
| ib(tc) = 0; ia(0) = I0; ib(0) = -I0; ic(0) = 0 | (5) |
By utilizing the systems of equations 4a to 4e and the conditions given in equation 5 the solution for the current can be obtained as discussed in Lecture 22.



