
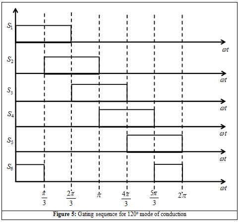
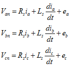
As a result of non zero value of ib, all the three phases will conduct and once ib = 0, then only phases A and C will conduct. The equivalent circuits for all the three conditions are given in Figures 6. In case of ib < 0 (Figure 6a) the system equations are
![]() |
(3a)
|
Since the phases are connected in star the following condition holds true
| ia + ib + ic = 0 | (3d) |
The three induced e.m.fs are
(3e) |
Since the e.m.fs are sinusoidal, the following condition holds true
| ea + eb + ec = 0 | (3f) |
Using equations 3a to 3f, the following set of equations are obtained
![]() |
|


