For a P -pole machine, P/2 cycles of e.m.f will be generated in one revolution. Thus, for a P pole machine
![]() |
(6) |
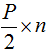
In a 4 pole, in one revolution 2 cycles of e.m.f are generated. Hence, for a P pole machine, in one revolution P/2 cycles are generated. For a P -pole machine, in one revolution per second, P/2 cycles per second of e.m.f will be generated. Hence, for a P pole machine, in n revolutions per second
cycles/second are generated. The quantity cycles/second is the frequency f of the generated e.m.f. Hence,
![]() |
(7) |
Suggested Reading:
[1] M. G. Say, The Performance and Design of Alternating Current Machines , CBS Publishers, New Delhi
[2] S. J. Chapman, Electric Machinery Fundamentals , McGraw Hill, 2005

