Module 5: DC-AC Converters

Lecture 16 : Voltage Control of DC-AC Inverters Using PWM

 

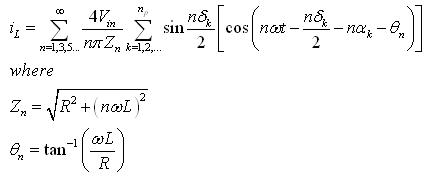
The output voltage in case of sinusoidal PWM can be expressed as

       (12)

The width of the kth pulse (δk) is approximately given by

                                                                                (13)

The value of the starting angle of the kth pulse (αk) is given by numerically solving the following equation

                                                                                  (14)

The angles θ and α for a sine PWM with 6 pulses per half cycle are calculated using equations 13 and 14 and listed in Table 1 . The waveforms of the voltage and current are shown in Figure 7.

The r.m.s value of the output voltage is

                                                                                                             (15)

The load for an R-L load is given by

                              (16)