Module 5: DC-AC Converters

Lecture 16 : Voltage Control of DC-AC Inverters Using PWM



Figure 4: Harmonic content for single pulse width modulation

Single Pulse Width Modulation

The harmonic content in the voltage vo can be reduced by using several pulses in each half cycle. The generation of the gating signal is done by comparing a reference signal with a triangular carrier waveform ( Figure 5 ). The generated gate signals are shown in Figure 5 . The frequency of the reference signal fr and the carrier signal fc determine the number of pulses per half cycle ( np) as

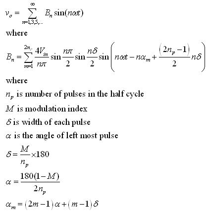
                                                                                (8)

The instantaneous output voltage (vo) and the current for resistive and inductive loads are shown in Figure 5 . The output voltage in terms of Fourier series is given by

                                    (9)