Module 5: DC-AC Converters

Lecture 16 : Voltage Control of DC-AC Inverters Using PWM

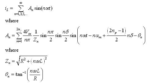
The magnitude of the currents for R-L load are given by

                   (10)

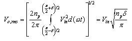
The rms value of the output voltage is

                                                                          (11)

Figure 5: Currents and voltages in single phase DC-AC inverter for Multi-PWM