Module1 : Process Design of Heat Exchanger

Lecture 4 : Design Problem

 

 

Overall heat transfer co-efficient (Uo,cal ):

Fouling factor, Rdk =0.001 h ft2 °F Btu -1 for kerosene and Rdg = 0.0005 h ft 2 °F Btu -1 for gasoline is taken for this service.

                                           (1.6)

Let select, Admirality brass as tube material with thermal conductivity, kw =70 Btu h -1 ft-1 °F-1 .

Uo,cal = 53.5 Btu h -1 ft -2 °F-1

 

Now,

 

Therefore, the calculated overall heat transfer co-efficient is well within the design criteria.

VI. Pressure drop calculation

VI.1. Tube side pressure drop:

Friction factor f = 0.00028 x 144 for Re = 0.04032 ft2 /ft2 for Re=11571.4 ( [3] page 836 ]

at = (no. of tubes)×(flow area per tube)/(no. of passes)

= 0.232 ft 2

Tube side mass velocity:

=646552 lb. h-1.ft-2

Frictional pressure drop:

= 5.81 psi

Return loss ΔPrt : (due to change in flow direction of the tube side fluid)

= 0.73 psi

Total tube side drop neglecting nozzle loss:

                                                                            (1.8)

=5.81+0.73

=6.54 psi<10 psi

 

Therefore the tube side pressure drop is within the maximum allowable pressure drop of 10 psi.

 

VI.2. Shell side pressure drop calculation

Tube clearance, C =0.25

Spacing, B =15.5

as = 0.444 ft2

Mass velocity, GS = 210526 lb. h-1.ft-2

Re = 35668

No of baffles,

Friction factor, f = 0.0017 X 144= 0.2448 ft2 / ft2 with 25% cut segmental baffles ( [3] page 839 )

 

Shell side frictional pressure drop ΔPs :

=1.4 psi <7 psi

ΔPrs = 0 (in case of single shell pass flow)

 

Total shell side drop neglecting nozzle loss:

= 1.4 psi                                                                            (1.9)

Therefore the shell side pressure drop is within the maximum allowable pressure drop of 7 psi.

 

VII. Over surface and over design

Over surface =

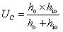
The clean overall heat fransfer co-efficient:

= 141.3×0.834=117.8 Btu h-1 ft-2 °F-1

Uc = 66.98 Btu hr -1 ft-2 °F-1

% Over surface =

                         =20% (acceptable)

Over design:

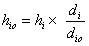
The design area of heat transfer in the exchanger, ( nt =318) :

=π× ×24×368=2312 ft2

The required heat transfer area (where, nt =335):

= π× ×24×335=2105 ft2

% Overdesign=9.8% which is within the acceptable limit.

Refer module # 2 for the mechanical design of shell and tube heat exchanger .