Module1 : Process Design of Heat Exchanger

Lecture 4 : Design Problem

 

 

Determining the heat transfer area (‘ A '):

The value of overall heat transfer coefficient ( Uo,assm ) of 60 Btu h-1 ft -1 °F -1 is assumed to initiate the design calculation for the kerosene and gasoline heat exchanger. The approximate range of overall heat transfer coefficient depending on the hot and cold fluid can be found out from text books ( [3] page 845).

                                                                         (1.1)

= 1586.36 ft 2

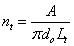
Calculating no. of tubes ( nt ):

                                                                                                              (1.2)
= 502

nt = 518 is taken corresponding to the closest standard shell ID OF 35" for fixed tube sheet, 1-shell and 2-tube passes exchanger with 1" tube OD on 1¼" square pitch. You may refer to standard heat transfer books ( [3] page 841-842 ) for the selection of suitable shell ID.

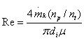
Check for fluid velocity:

                                                                                                     (1.4)

= 2740.2<10 4

As Re<<10 4 , the design parameters and considerations needs to be retuned to meet the Reynolds number criteria subject to allowable pressure drop in the tube side of the heat exchanger.