Module1 : Process Design of Heat Exchanger

Lecture 4 : Design Problem

    

Iteration #2:

Assumptions:

•  Fixed tube plate type

•  1" OD tubes (14 BWG) on 1¼" square pitch ( PT )

•  Tube length ( Lt ) = 24′ (the tube length is increased from 16' )

•  1 shell pass-6 tube pass (tube passes is increased to 6 from 2)

•  Tube ID=0.834″

•  Flow area per tube=0.546 inch 2

 

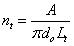
No. of tubes:

                                                                                                         (1.2)
=335

nt = 368 is taken corresponding to the closest standard shell ID of 31΄΄ for fixed tube sheet, 1-shell and 6-tube pass exchanger with 1΄΄ tube OD on 1¼΄΄ square pitch. The tube-counts are available in heat transfer text book ( [3] Table 9 & 10 page 841-843).

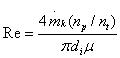
Fluid velocity:

                                                                                               (1.4)

= 11571.4 >104 corresponding to np= 6.

                                                                                                              (1.3)

= 12945.15 ft/h (3.59 ft/s)

= 1.04 m/s (so the design velocity is within the acceptable range).