Module1 : Process Design of Heat Exchanger

Lecture 4 : Design Problem

    

 

V. Determination of heat transfer co-efficient

Tube side heat transfer co-efficient ( hi ):

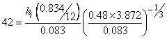
                                                                (1.5)

j H =42 for the tube side fluid at Re=11571.4 ( [3] page 834 )

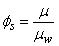
(Let 's consider = 1, μ = viscosity of the tube side fluid; μw = viscosity of tube side fluid at wall temperature)

hi = 141.3 Btu h-1 ft -1°F-1

Shell side heat transfer co-efficient ( ho):

Assumptions:

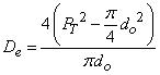
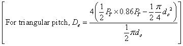
Equivalent diameter for the shell side: (for square pitch)

=0.082ft

Shell side cross flow area, (please refer to Figure 1.6 ).

C = Tube clearance

= PT - d0

= 1¼ -1=0.25

= 0.675 ft 2

Mass velocity,

=210526 lb. h -1.ft -2

=35668

Now for the shell side,                                              (1.5)

jH =110 for the shell side fluid at Re=35668 with 25% cut segmental baffles ( [3] page 838 )

( = 1 is considered for the shell side fluid ).

ho = 155.3 Btu h -1 ft -2 °F -1