·
II. Fluid properties at calorific temperature
Viscosity:
76 °API gasoline, μg =0.2cp (0.484 lb.ft -1.h-1 )
46 °API kerosene, μk =1.6 cp (3.872 lb.ft-1.h-1 )
Density:
ρg =685 kg.m-3 (42.7 lb.ft-3 )
ρk =800 kg.m-3 (49.8 lb.ft-3 )
Thermal conductivity:
kg =0.075 Btu h-1 ft-1 °F-1
kk =0.083 Btu h-1 ft-1 °F-1
Specific heat capacity:
Cg = 0.57 Btu lb-1 ft-1
Ck = 0.48 Btu lb-1 ft-1
Specific gravity:
Sg = 0.685
Sk = 0.80
III. Energy balance
Type heat exchanger: Assume no heat loss to the surrounding
=3240000 Btu/h
⇒150000×0.48×(120-75)= ×0.57×(160-120)
⇒ = 142105 lb h-1
IV. Calculation of heat transfer area and tube numbers
Iteration #1:
The first iteration is started assuming 1 shell pass and 2 tube passes shell and tube exchanger with following dimensions and considerations.
- Fixed tube plate
1'' OD tubes ( do) (14 BWG) on 1¼'' square pitch ( P T )
Outer diameter of tube= 1''
Tube length ( Lt)=16'
Tube ID ( di ) = 0.834''
Fluid arrangement: Kerosene is placed in tube side because it has the higher fouling tendency
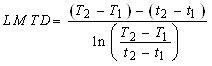
The log mean temperature correction factor (FT) for 1-2 shell and tube exchanger :
where, ;
= 42.75°F