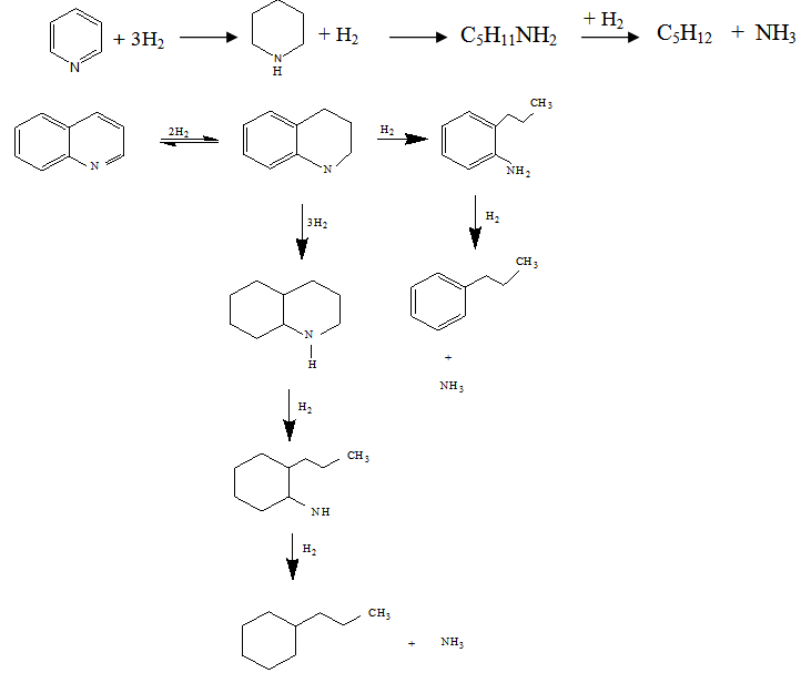
- 2. Hydrodenitrogenation (HDN): This involves removal of nitrogen compounds Almost all of the nitrogen in petroleum is present in form of ring compounds. These must be saturated and opened before the nitrogen can be removed.

- 3. Hydrodemetalation (HDM): Ni, V, Fe removal
NiEP : nickel etioporphyrin
Process conditions
Hydrotreating process condition though depends on feed properties but generally carried out in temperature range of 300-450°C at 40-150 atm H2 pressure. The heavier petroleum feed require more severe conditions and removal is also less efficient compared to light petroleum feed.