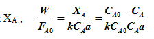
Now , 
Hence substituting for 
![]() |
(8) |
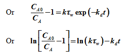
τw is called the weight time similar to space-time τ. CA and ‘a' vary with time.
Substituting,
in equation (8)

Plotting
versus ‘t' gives a straight line of slope of -kd and intercept In (kτw)
Fig. 1. Plot to determine the rate constant and the deactivation rate constant for a reaction over deactivating catalyst. ( For mixed reactor, constant flow and independent deactivation)
