Module 2 : Heterogeneous catalysis

Lecture 23 : Effect of transport process-part 2

 

Effective diffusivity, De

The actual pore network within a catalysts pellet can be quite complex and hence to account for diffusion through the tortuous, random and interconnected arrangement of pores it is essential to develop a pore model that can realistically represent the geometry of void space. The void geometry should also be represented in terms of easily measurable physical properties of catalyst pellets, such as surface area, pore volume, density of solid phase and distribution of void volume according to pore size. Keeping all these factors in consideration, various pore models are developed. The effective diffusivity (De) is derived using these pore models from combined diffusivity for a single cylindrical pore.

The steps involved are as follows:

  1. 1. Initially combined diffusivity D for a single cylindrical pores is calculated using the equation (2)

  2. 2. Then a geometric model of the pore system is used to convert D to De for the porous pellets.

Two pore models more commonly used are:

  1. 1. parallel pore model

  2. 2.
  3. random pore model

Parallel pore model

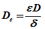
In this model, the effective diffusivity is derived based on assembly of parallel cylindrical pores of uniform radius. The interconnection and non-cylindrical pore shapes for real material is accounted for by introduction of a tortuosity factor δ. Using this model the effective diffusivity De can be expressed as

(5)

Where ε = porosity; D = combined diffusivity ; δ = tortuosity factor

The typical porosity values lies in the range of 0.3- 0.5. The tortuosity factor can varies from less than one to 6. Typically a value of 3 to 4 is used.