Elimination of homogeneous phase reaction and deactivation
When reaction is carried out over a fixed bed of solid catalyst there may be possibility of non-catalytic homogeneous reactions occurring in gas phase. If any non-catalytic homogeneous reactions occur along with heterogeneous catalytic reactions, then data collected will give erroneous kinetics for the heterogeneous reaction. Hence, reaction should be carried out in an empty reactor without using any catalyst to determine the contribution of homogeneous phase reactions, if any, at the desired operating conditions. Kinetic study should be carried out at operating conditions for which contribution of homogeneous phase reactions is negligible. In addition, deactivation studies should be carried out by operating the reactor for long run lengths. If any significant deactivation occurs, than it should be taken into account for further analysis.
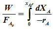
Integral analysis of rate data
In this method a series of run are made in a packed bed at a fixed initial concentrations CA0 and a fixed temperature while varying the catalyst mass W and/or initial molar flow rate FA0 to generate a range of W/FA0 values at different conversions XA. A rate equation is then selected for testing using the design equation for packed bed reactor.
..............................(1)
First simpler rate equations such as zero order, first order, second order irreversible are tried. Mechanistic reaction models can also be tested. The W/FA0 and the right hand integral in equation [1] are evaluated numerically and plotted to test for linearity (Fig. 1). Linearity of the plot is used as criterion for judging if the selected rate equation is a useful model for the data i.e consistent with the data. If not then another rate equation may be tried.

Fig. 1. Typical plot of W/FA0 vs integral value for linearity test in integral analysis of rate data