Module 5: SIGNAL TRANSDUCTION

Lecture 3: Second Messengers - cAMP

Second messengers: As mentioned in lecture 1 of this module, second messengers are molecules that relay signals received at receptors on the cell surface such as hormones, growth factors, etc. to appropriate target molecules in the cytosol and/or nucleus. In addition to their job as relay molecules, second messengers serve to amplify the strength of the signal. Binding of a ligand to a single receptor at the cell surface may end up causing massive changes in the biochemical activities within the cell.

There are 3 major classes of second messengers:

•  Cyclic nucleotides ( cAMP and cGMP )

•  Inositol trisphosphate ( IP3) and diacylglycerol ( DAG )

•  Calcium ions (Ca2+)

We will discuss about all of them in the upcoming lectures.

Cyclic adenosine monophosphate ( cAMP)

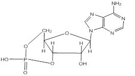
cAMP is an important second messenger involved in a plethora of cellular effects and biological roles by regulating various metabolic process and mediating the effects of many hormones that binds to a specific receptor on the cell membrane of target cells including catecholamines, ACTH, and vasopressin. It also plays imperative role in the transcription of some genes. Earl Sutherland won a Nobel Prize in Physiology or Medicine in 1971 for his discoveries regarding the mechanisms of the action of hormones, especially epinephrine, via second messengers such as cyclic AMP. cAMP is represented by C10 H12 N5 O6 P and the molecular mass is 329.206.

Figure 1: Cyclic Adenosine monophosphate or 3'-5'-cyclic adenosine monophosphate

[Compositions of cAMP - Adenine base + Ribose sugar + 3', 5'-cyclic phosphate]

Adenosine in cAMP is a nucleoside composed of the pentose sugar D-ribose and adenine, a base. Cyclic AMP contains an ester linkage between the phosphate and ribose units.

Some of the hormones that achieve their effects through cAMP as a second messenger:

Binding of the hormone to its receptor activates a G protein which, in turn, activates adenylyl cyclase. The resulting rise in cAMP turns on the appropriate response in the cell by either (or both): changing the molecular activities in the cytosol, often using Protein Kinase A ( PKA ) — a cAMP-dependent protein kinase that phosphorylates target proteins; turning on a new pattern of gene transcription.