Module 3 : Basics of Queueing (M/M/- Type Queues)

Lecture 1 : Kendall's Notation, Little's Result, PASTA, M/M/1/∞ Queue

For this queue , PASTA is not applicable as the overall arrival process is not Poisson. The state distribution as seen by the arriving customer will not be the same as the equilibrium distribution (i.e. time averaged, ergodic) found as pk k=0,1, 2,......... in the previous slide.

Let πr = P{arriving customer seesr in system (before joining the system)}

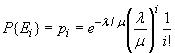
Let ΔE be the event of an arrival in (t, t+ Δt) and let Ei be the event of the system being in state i.

 

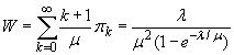
Then