Module 3 : Basics of Queueing (M/M/- Type Queues)

Lecture 1 : Kendall's Notation, Little's Result, PASTA, M/M/1/∞ Queue

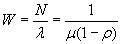
For ρ < 1,eq. (2.2) and (2.3) will give -
  Using
Little's
Result
  Using
Little's
Result

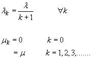
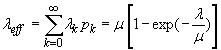
M/M/1/∞ Queue with Discouraged Arrivals :

This is a M/M/1 queue where the arrival rate decreases with increasing system state as given below. This implies that the system discourages new arrivals when the number waiting in the queue increases. Otherwise, the queue is similar to the M/M/1 queue described in the previous slide.

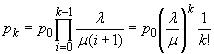
For ρ=λ/μ <1, we get