Module 3 : Basics of Queueing (M/M/- Type Queues)

Lecture 1 : Kendall's Notation, Little's Result, PASTA, M/M/1/∞ Queue

For the following, refer to the figure given in the earlier slide

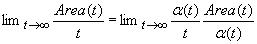
Consider the time interval (0,t) where t is large, i.e. t →∞

Area(t ) = area between α(t) and β(t) at timet
Average Time W spent in system
Average Number N in system =
Since,   Therefore, N= λW


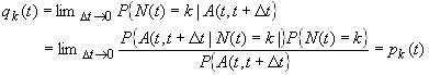
For queues where the arrival process is Poisson, an important observation that can be made is that the queue state distribution as seen by an arriving customer when it arrives will be the same as what we would see if we calculated time averages by observing the queue for a long time. This is referred to as the PASTA property, Poisson Arrivals See Time Averages. This can be easily shown as given below.

Then


Note that the latter holds because the arrival process is Poisson and therefore the probability of an arrival in the time interval (t, t+Δt) will not depend on N(t), the number in the system at time t.