Impulse response of RC system
We have seen how we could calculate the impulse response from the unit step response of a system. Now we shall calculate the unit step response, or in general the response to any input signal, given its impulse response. We shall use convolution to obtain the required result.
The unit impulse ,
when fed into the RC system
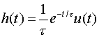
gives the corresponding impulse response h(t),
which in this case is given by

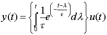
We shall now find the response to the input signal u(t).
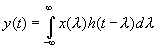
The convolution of an input signal x(t) and the impulse response of a system h(t) is given by the formula:

