|
RC System
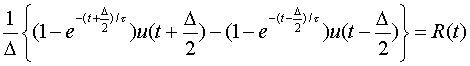
Consider a RC system consisting
of a resistor and a capacitor. We have to find out
what the response of this system is to the unit impulse
First let us understand the response
to

If the input is the unit step function
u(t) then the output
of the system will be
.
Let us call this output of the system S(t).
Hence we can say that the response to
will be given as follows:

Now as the response of
will be equal to h(t)
Taking limit as
on both sides and using
we get

By the sifting property we get


Hence if we are given the unit
step response u(t) we have been able to calculate the
continuous impulse response of the system. Next we shall
see how we can get the unit step response from the impulse
response of the same system.
|