Example 5.9 A long rigid symmetric rotor is supported at ends by two identical bearings. The shaft has the diameter of 0.2 m, the length of 1 m, and the material mass density equal to 7800 kg/m3. The bearing dynamic characteristics are as follows: kxx = kyy = k = 1 kN/mm with other stiffness and damping terms equal to zero. By considering the gyroscopic effect, obtain whirl natural frequencies of the system, if rotor is rotating at 10, 000 rpm.
Solution: Figure 5.40 shows a typical long rotor mounted on identical (isotropic) bearings. From equations (5.111) and (5.112), the force and moment balance equations are
(a) |
and
(b) |
where the right hand side of each of these equations represent the summation of external forces or moments. Noting Figure 5.40, equations (a) and (b) can be written as
(c) |
and
(d) |
Let us assume solutions of equations (c) and (d), as
(e) |
where X, Y, Φx and Φy are the complex displacement amplitude and n is the frequency of the whirl.

On substituting equation (e) into equations (c) and (d), we get
![]() |
(f) |
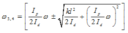
For a non-trivial solution on putting the determinant of the matrix in equation (f) equal to zero and on solving the obtained frequency equation the following pure imaging solutions are obtained
(g) |
with
(h) |
and
![]() |
(i) |
For the present case there is no coupling of motions in the linear and tilting displacements, and because of this natural frequencies for the linear motion (i.e., equation (h)) is not affected by the gyroscopic moment. Equation (i) gives whirl natural frequencies for pure tilting motion of the rotor. Because of decoupled linear and tilting motions whirl natural frequency expressions are simpler as compared to the coupled case as it is discussed in Section 5.6 or 5.7. It should be noted that it gives identical expressions as that equation (5.113) in Section 5.4 for asynchronous rotational motion through the quasi-static approach. However, for the present case the approach is through equations of motion. Numerical values of natural whirl frequencies are exactly same as Example 5.3, which was again solved by the quasi-static approach.
13.3 Pure Tilting Vibrations of a Jeffcott Rotor Model
Let us consider a Jeffcott rotor under pure tilting motion (2-DOFs model) without linear motion of the disc (i.e., the centre of the gravity remains at bearing axis). In Figure 5.41 Oz is the bearing axis, OBis the axis about which disc is rotating (angle with z-axis is φ) and OA is the axis of the principal polar moment of inertia (angle with z-axis is φ1, Ip is the polar mass moment of inertia, and Id is the diametral mass moment of inertia).

Let at t = 0, OA and OB are in the plane of z-x, then at t ≠ 0 we will have
(5.120) |
where ω is the spin speed of the disc, Φy and Φx are angle made between projections of lines OA and OB on z-x and y-z planes, respectively, at some time instance, t. So that at t = 0, we have Φy =Φ andΦx = 0.

From the previous analysis of disc with gyroscopic (refer Section 5.6), we have
(5.121) |
with
(5.122) |
where
is the influence coefficient corresponding to the pure tilting of the disc at the shaft mid-span; φ1x and φ1y are angles made by projections of OA (the axis of the principal polar moment of inertia of the disc) with z-axis on z-x and y-z planes, respectively; andφ1x andφ1y are angles made by projections of OB (axis of rotation of the disc) with z-axis on z-x and y-z planes, respectively.
On substituting equation (5.122) into equation (5.121), we get
(5.123) |
and
(5.124) |
Hence from above equations, moment unbalances are
(5.125) |
Concluding Remarks
The present chapter starts with basic concepts of the angular momentum and the gyroscopic moment in simple spinning rotors. We studied using the quasi-static analysis the whirling motion of a single mass rotor with gyroscopic effects. Initially to start with for the synchronous whirl motion is studied for rotor systems with the thin disc and the long stick. It is found that thin disc has effect of increasing the critical speed and the long stick has effect of decreasing the critical speed. The pure tilting motion has been considered for asynchronous whirl, it is found that the whirl natural frequency depends upon the spin speed. The whirl natural frequency gets split into two and they are distinct at high rotor spin speeds; and consequently, the forward and backward critical speeds are defined. For the general motion of the rotor, four whirl natural frequencies are obtained and; consequently, four critical speeds (two forward and two backward) are extracted from the Campbell diagram. Subsequently, the dynamic analysis of the general motion of the single mass rotor with gyroscopic effects are analysed by first obtaining differential equations of motion and then formulating the eigen value problem for the synchronous and anti-synchronous whirl, respectively, to obtain the forward and backward critical speeds. The present chapter will help in the analysing of results to be obtained by numerical methods, e.g., TMM and FEM, in subsequent chapters.

