
Figure 13.20 A procedure of experimental phase measurement with the help of oscilloscope
Example 13.5 A rigid rotor machine is exhibiting vibration problems caused by unbalance. The machine is symmetric about its center-line. A trial balance mass of 0.3 kg is sited at end 1 at an angle of 300 relative to some reference position; this causes changes in vibration vectors of 50 μm at 610 at end 1 and 42 μm at 1300 at end 2. Determine the influence coefficients for use in balancing the machine, and calculate the balance mass required at each end of the machine if the measured unbalance vibrations are –30 μm at 2300 at end 1 and –70 μm at 3300 at end 2.
Solution: For the present problem the given data are

We have, influence coefficients as

It is given that machine is symmetric about the centreline, hence
![]()
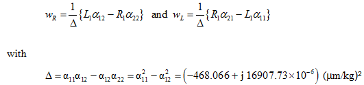
Measurements,influence coefficients and correction mass are related as

which can be simplified as

which gives the balancing mass and its angular position as

The present problem could also be solved using graphical method. It is left to the reader as an exercise.