Module 5 : Statistical Thermodynamics

Lecture 2 : Wave Mechanics

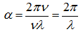
Let,

(5.43)

where ω is the angular velocity and v is the frequency.

(5.44)

αvp = ω = 2π

(5.45)

(5.46)

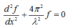
Again from Eq. (5.37) ⇒

(5.47)

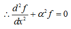
(5.48)

or,

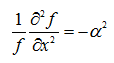
(5.49)

The function of represents the amplitude of the standing wave at any position x for a vibration of associated wavelength.