Module 5 : Statistical Thermodynamics

Lecture 2 : Wave Mechanics

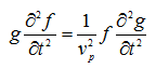
In Eq. 5.32b, Vp is the phase velocity

where and y is amplitude of vibration at time t at distance x from fixed end.

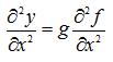
Using method of separation of variable to solve the PDE (Eq. 5.32b) we write

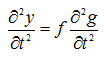
y = f(x)g(t)

(5.33)

(5.34)

And,

(5.35)

substituting in Eq. (5.32b), we get

(5.36)

or,

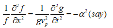
(5.37)

where is the separation constant.

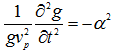
Since, each side of the Eq. (5.37) is a function of a single variable,

(5.38)

or,

(5.39)

The characteristic equation is

(5.40)

or,

m1 = ± i αVp

(5.41)

So, the general solution is

(5.42)