Module 5 : Statistical Thermodynamics

Lecture 2 : Wave Mechanics

Wave Equation

Suppose, the motion of the string discussed previously , is restricted to the x-y plane only (Fig. 5.2). Considering motion of the element PQ, net force, Fy in y- direction is

Fig. 5.2 Forces acting on an elemental length of a string

Fy = T sin θ2 - T sin θ1

(5.27)

where T is the tension in the string. Further, θ being small

(5.28)

and,

(5.29)

From Eqs. (5.27-5.29), we get

(5.30)

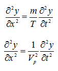
By Newton's law of motion,

(5.31)

where m is the mass of the string per unit length.

(5.32a)

 

(5.32b)