Module 5 : Statistical Thermodynamics

Lecture 2 : Wave Mechanics

** A stationary wave is equivalent to two traveling waves propagating in opposite directions, the waves being reflected and re-reflected at the ends of the string. This is analogous to the motion of a particle moving freely back and forth along a straight line and making elastic collisions at two points separated by the distance L.

According to quantum mechanics, a stationary Schrodinger wave is in fact completely equivalent to such a particle, and the wavelength λ of the stationary wave is related to the momentum p of the particle through the relation

(5.21)

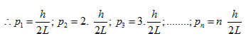
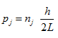
where h = Planck's constant. The momentum of the particle for different nodes/antinodes are

(5.22)

It can be observed that the momentum of the particle is not continuous rather it is discrete. We can write down the momentum of a particle in the form

(5.23)

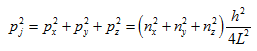
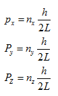
If the particle is free to move in any direction within a cubical box of side length L whose sides are parallel to the x, y and z axes of a rectangular co-ordinate system, the x, y and z components of its momentum are permitted to have only the values

(5.24)

where nx, ny and nz are integers called the quantum numbers, each of which can have some one of the values 1, 2, 3, etc.

Each set of quantum numbers corresponds to a certain direction of momentum.

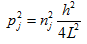
If pj is the resultant momentum corresponding to some set of quantum numbers nx, ny & nz,

(5.25)

If we let

(5.26)