Module 5 : Statistical Thermodynamics

Lecture 1 : Fundamentals

Bohr-Sommerfield Rule

(5.1)

where p is the momentum

q is the coordinate of the electron (px.dx or pθ.dθ)

n is an integer (1, 2, 3, ..........)

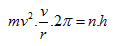
Integrating for one cycle of close path

(5.2)

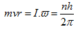
(5.3)

or,

(5.4)

This is known as Bohr-Sommerfield rule. It states that the only possible circular orbit of the electrons are those in which the angular momentum ( ) of the electron is a multiple of .