Introduction
The topics covered in this chapter are as follows:
- Need for Flux Weakening Control of PM Machine
- Maximum Speed of PM Machine
- The Flux Weakening Algorithm
- The Implementation of Flux Weakening
Need for Flux Weakening Control of PM Machine
The PM machines are driven by the DC-AC converter and the converter is fed by a DC source such as a battery. This DC source has a fixed voltage, hence the motor input voltage and current ratings are limited. The voltage and current limits influence the maximum speed with rated torque capability and the maximum torque producing capability of the motor. In EV and HEV applications, it is required to produce rated power at as high a speed as possible. For a given DC source voltage the machine produces torque up to a speed known as base speed . Above base speed, the induced emf in the machine will exceed the maximum input voltage and no currents will flow of into machine phases. To overcome this situation, the induced e.m.f is constrained to be less than the applied voltage by weakening the air gap flux linkages. In principle, the flux weakening is made to be inversely proportional to the stator frequency so that the induced e.m.f is constant and will not increase with the increasing speed. Such a control strategy is known as flux weakening control .
Similarly, a maximum efficiency control is suitable for applications where energy saving is important
Maximum Speed of PM Machine
In order to determine the maximum speed of the PM, consider the q and d axis stator voltages in p.u.:
![]() |
(1) |
In steady state operation the derivative of the currents is zero, hence the voltage equation becomes:
![]() |
(2) |
The maximum speed is attained by reducing the air gap field drastically and all the stator current is utilized for that purpose. This is done by making the q axis current equal to zero, hence the stator voltage is given by
![]() |
(3) |
and the stator voltage phasor is given by
(4) |
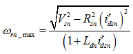
From equation 4, the maximum speed for a given stator current magnitude of
is
![]() |
(5) |
From equation 5 it can be seen that the denominator has to be greater than zero. This sets the condition for the maximum stator current and it is equal to
![]() |
(6) |
The Flux Weakening Algorithm
The voltage and current phasors for the PM machine under steady state operation is given by
![]() |
(7)
|
Substituting the value of
from equation 8 into equation 7 gives
(9) |





