Indirect Rotor Oriented FOC
The direct FOC is problematic and expensive due to use of hall-effect sensors. Hence, indirect FOC methods are gaining considerable interest. The indirect FOC methods are more sensitive to knowledge of the machine parameters but do not require direct sensing of the rotor flux linkages.
The q-axis rotor voltage equation in synchronous frame is
![]() |
(26)
(27) |
Substituting the values of ieqr and λedr from equation 15 and 18 respectively into equation 27 gives
![]() |
(28) |
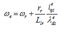
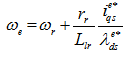
From equation 28 it can be observed that instead of establishing θe using the rotor flux as shown in Figure 3 , it can be determined by integrating ωe given by equation 28 where ωe is given as:
![]() |
(29) |
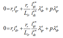
The equation 29 does satisfy the conditions of FOC. In order to check it consider the rotor voltage equations for the q- axis and d- axis:
![]() |
(30) (31) |
Substituting ωe from equation 29 into equations 30 and 31 gives
![]() |
(32)
(33) |
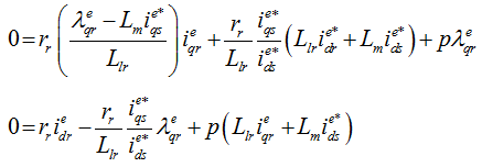
Substituting the value of d- axis rotor flux from equations 17 into equation 33 gives
![]() |
(34)
(35) |
If the d- axis rotor current is held constant, then pie*dr= 0 and rearranging equations 34 and 35 gives
![]() |
(36)
(37) |
The solution of equations 37 and 38 will decay to zero (same argument as used for equation 12 ), hence λeqr and ieqr will eventually become zero. In Figure 4 the implementation of indirect FOC is shown and it is much simpler than the direct FOC .

References:
[1] P. C. Krause , O. Wasynczuk , S. D. Sudhoff , Analysis of electric machinery , IEEE Press, 1995
Suggested Reading
[1] R. Krishnan, Electric motor drives : modeling, analysis, and control , Prentice Hall, 2001






