Module 9 : State Feedback Control Design

Lecture 1 : State Feedback Controller

 

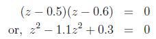
Example 2: Find out the state feedback gain matrix K for the following system by converting the system into controllable canonical form such that the closed loop poles are located at 0.5 and 0.6.

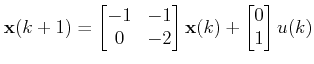
$\displaystyle \mathbf{x}(k+1) \begin{bmatrix}-1&-1\\ 0  &-2\end{bmatrix}\mathbf{x}(k)  + \begin{bmatrix}0\\ 1\end{bmatrix}u(k) $

Solution:

$\displaystyle U_C=\begin{bmatrix}0&-1\\ 1&-2\end{bmatrix}$

The above matrix has rank 2, so the system is controllable.

Open loop characteristic equation:

or, $\displaystyle \;\; z^2+3z+2 =0$


Desired characteristic equation:


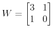
To convert into controllable canonical form: $\displaystyle W=\begin{bmatrix}3&1\\ 1&0\end{bmatrix} $

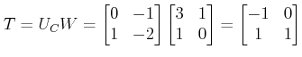
The transformation matrix: $\displaystyle T= U_C W = \begin{bmatrix}0&-1\\ 1&-2\end{bmatrix}\begin{bmatrix}3&1\\ 1&0\end{bmatrix} = \begin{bmatrix}-1&0\\ 1&1\end{bmatrix} $

Check: $\displaystyle T^{-1} A T = \begin{bmatrix}0&1\\ -2&-3\end{bmatrix}, \;\;\;\;\;\;  T^{-1}B= \begin{bmatrix}0\\ 1\end{bmatrix}$

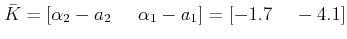
Now, $\displaystyle \alpha_1 = -1.1, \;\;\;\;\;\; \alpha_2 =0.3, \;\;\;\;\;\; a_1=3, \;\;\;\;\;\; a_2=2 $

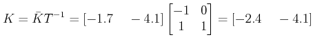
Thus $\displaystyle \bar K = [\alpha_2-a-2 \;\;\;\;\; \alpha_1 - a-1] = [-1.7  \;\;\;\; -4.1] $

We can then write $\displaystyle K = \bar K T^{-1} = [-1.7 \;\;\;\; -4.1] \begin{bmatrix}-1&0\\ 1&1\end{bmatrix} = [-2.4 \;\;\;\; -4.1] $

Taking the initial state to be $ \boldsymbol{x}(0)=[2\;\;\; 1]^T$, the plots for state variables and control variable are shown in Figure 1.

Figure 1: Example 2: Plots for state variables and control variable
\includegraphics[width=9cm]{m9l1f1.eps}