Module 9 : State Feedback Control Design

Lecture 1 : State Feedback Controller

The design techniques described in the preceding lectures are based on the transfer function of a system. In this lecture we would discuss the state variable methods of designing controllers.

The advantageous of state variable method will be apparent when we design controllers for multi input multi output systems. Moreover, transfer function methods are applicable only for linear time invariant and initially relaxed systems.

1 State Feedback Controller

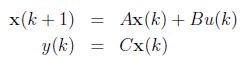
Consider the state-space model of a SISO system

(1)

where $ \mathbf{x}(k) \in R^{n\time 1}$, u(k) and y(k) are scalar. In state feedback design, the states are fedback to the input side to place the closed poles at desired locations.


Regulation Problem: When we want the states to approach zero starting from any arbitrary initial state, the design problem is known as regulation where the internal stability of the system, with desired transients, is achieved. Control input:

$\displaystyle u(k)=-K\mathbf{x}(k)$
(2)

Tracking Problem: When the output has to track a reference signal, the design problem is known as tracking problem. Control input:

$\displaystyle u(k)=-K\mathbf{x}(k) + N r(k)$

where r(k) is the reference signal.


First we will discuss designing a state feedback control law using pole placement technique for regulation problem.

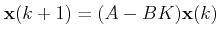
By substituting the control law (2) in the system state model (1), the closed loop system becomes $ \mathbf{x}(k+1)=(A-BK)\mathbf{x}(k)$. If K can be designed such that eigenvalues of A-BK are within the unit circle then the problem of regulation will be solved.


The control problem can thus be defined as: Design a state feedback gain matrix K such that the control law given by equation (2) places poles of the closed loop system $ \mathbf{x}(k+1)=(A-BK)\mathbf{x}(k)$ in desired locations.